Myneta.info is an open data repository platform of Association for Democratic Reforms (ADR).
Myneta Logo Myneta Logo
Home Lok Sabha State Assemblies Rajya Sabha Political Parties Electoral Bonds || माय नेता हिंदी में || About MyNeta About ADR
State Assemblies Rajya Sabha Political Parties
1 2 3 4

Comparison Chart of Political Party Candidates of Constituency:DABGRAM-PHULBARI

Generated Saturday 21st of February 2026 10:26:32 AM
Name Age Party Code Criminal Cases Education Level Movable Assets Immovable Assets Total Assets Total Liabilities PAN Given
(Y/N)
Abul Kashem 51 SUCI(C) No

8th Pass 13,00,000
~ 13 Lacs+
50,000
~ 50 Thou+
Y
Serious IPC Counts: 0
IPC Details*
Dilip Singh 49 CPI(M) Yes

4
Graduate 20,00,000
~ 20 Lacs+
0
~
Y
Serious IPC Counts: 2
IPC Details*
Attempt to murder(307),
Voluntarily causing hurt to deter public servant from his duty(332),
Acts done by several persons in furtherance of common intention(34),
Punishment of criminal conspiracy(120B),
Punishment for Being member of an unlawful assembly(143),
Punishment for Rioting(147),
Rioting, armed with deadly weapon(148),
Every member of unlawful assembly guilty of offence committed in prosecution of common object(149),
Punishment for voluntarily causing hurt(323),
Act endangering life or personal safety of others(336),
Assault or criminal force to deter public servant from discharge of his duty(353),
Dulal Sarkar 44 Amra Bangalee No

8th Pass 0
~
0
~
Y
Serious IPC Counts: 0
IPC Details*
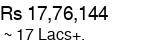
Goutam Deb 59 AITC No

Graduate Professional 51,00,000
~ 51 Lacs+
0
~
Y
Serious IPC Counts: 0
IPC Details*
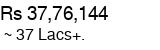
Rathindra Bose 56 BJP No

Graduate Professional 2,90,82,400
~ 2 Crore+
1,19,10,835
~ 1 Crore+
Y
Serious IPC Counts: 0
IPC Details*
Sanjiban Sarkar 46 BSP No

10th Pass 30,00,000
~ 30 Lacs+
0
~
Y
Serious IPC Counts: 0
IPC Details*
Subhas Biswas 63 IND No

5th Pass 20,00,000
~ 20 Lacs+
0
~
Y
Serious IPC Counts: 0
IPC Details*

*307 Attempt to murder , 332 Voluntarily causing hurt to deter public servant from his duty , 34 Acts done by several persons in furtherance of common intention , 120B Punishment of criminal conspiracy , 143 Punishment for Being member of an unlawful assembly , 147 Punishment for Rioting , 148 Rioting, armed with deadly weapon , 149 Every member of unlawful assembly guilty of offence committed in prosecution of common object , 323 Punishment for voluntarily causing hurt , 336 Act endangering life or personal safety of others , 353 Assault or criminal force to deter public servant from discharge of his duty
** For more information please visit myneta.info or call 1800 110 440, Web: www.adrindia.org, email: adr@adrindia.org, phone: (011)41654200 to 04

Comparison Chart of candidates of political parties from DABGRAM-PHULBARI constituency (JALPAIGURI).

Share On:
Download App Follow us on

Disclaimer: All information on this website has been taken by ADR from the website of the Election Commission of India (https://affidavitarchive.nic.in/) and all the information is available in public domain. ADR does not add or subtract any information, unless the EC changes the data. In particular, no unverified information from any other source is used. While all efforts have been made by ADR to ensure that the information is in keeping with what is available in the ECI website, in case of discrepancy between information provided by ADR through this report, anyone and that given in the ECI website, the information available on the ECI website should be treated as correct and Association for Democratic Reforms and their volunteers are not responsible or liable for any direct, indirect special, or consequential damages, claims, demands, losses of any kind whatsoever, made, claimed, incurred or suffered by any party arising under or relating to the usage of data provided by ADR through this report. It is to be noted that ADR undertakes great care and adopts utmost due diligence in analysing and dissemination of the background information of the candidates furnished by them at the time of elections from the duly self-sworn affidavits submitted with the Election Commission of India. Such information is only aimed at highlighting the growing criminality in politics, increased misuse of money in elections so as to facilitate a system of transparency, accountability and good governance and to enable voters to form an informed choice. Therefore, it is expected that anyone using this report shall undertake due care and utmost precaution while using the data provided by ADR. ADR is not responsible for any mishandling, discrepancy, inability to understand, misinterpretation or manipulation, distortion of the data in such a way so as to benefit or target a particular political party or politician or candidate.

About MyNeta About ADR State Coordinators Contact Terms of Use FAQs