Comparison Chart of Political Party Candidates of Constituency:BIHPURIA
Generated Monday 6th of April 2026 08:49:50 AM
| Name |
Age |
Party Code |
Criminal Cases |
Education Level |
Movable Assets |
Immovable Assets |
Total Assets |
Total Liabilities |
PAN Given (Y/N) |
| Bhupen Kumar Borah |
55 |
BJP |
No
|
Post Graduate |
 |
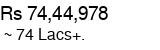
9,13,00,000 ~ 9 Crore+ |
 |
6,47,859 ~ 6 Lacs+ |
Y |
Serious IPC Counts: 0 IPC Details* |
| Dr. Diganta Gogoi |
62 |
Voters Party International |
No
|
Doctorate |
 |
46,00,000 ~ 46 Lacs+ |
 |
0 ~ |
Y |
Serious IPC Counts: 0 IPC Details* |
| Hemen Gogoi |
52 |
IND |
No
|
Graduate |
 |
20,00,000 ~ 20 Lacs+ |
 |
0 ~ |
Y |
Serious IPC Counts: 0 IPC Details* |
| Narayan Bhuyan |
55 |
INC |
Yes
1 |
Graduate |
 |
5,52,00,000 ~ 5 Crore+ |
 |
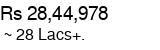
28,99,604 ~ 28 Lacs+ |
Y |
Serious IPC Counts: 0 IPC Details* Printing or engraving matter known to be defamatory(501), |
*501 Printing or engraving matter known to be defamatory
** For more information please visit myneta.info or call 1800 110 440, Web: www.adrindia.org, email: adr@adrindia.org, phone: (011)41654200 to 04
Comparison Chart of candidates of political parties from BIHPURIA constituency (LAKHIMPUR).
Disclaimer: All information on this website has been taken by ADR from the website of the Election Commission of India (https://affidavitarchive.nic.in/) and all the information is available in public domain. ADR does not add or subtract any information, unless the EC changes the data. In particular, no unverified information from any other source is used. While all efforts have been made by ADR to ensure that the information is in keeping with what is available in the ECI website, in case of discrepancy between information provided by ADR through this report, anyone and that given in the ECI website, the information available on the ECI website should be treated as correct and Association for Democratic Reforms and their volunteers are not responsible or liable for any direct, indirect special, or consequential damages, claims, demands, losses of any kind whatsoever, made, claimed, incurred or suffered by any party arising under or relating to the usage of data provided by ADR through this report. It is to be noted that ADR undertakes great care and adopts utmost due diligence in analysing and dissemination of the background information of the candidates furnished by them at the time of elections from the duly self-sworn affidavits submitted with the Election Commission of India. Such information is only aimed at highlighting the growing criminality in politics, increased misuse of money in elections so as to facilitate a system of transparency, accountability and good governance and to enable voters to form an informed choice. Therefore, it is expected that anyone using this report shall undertake due care and utmost precaution while using the data provided by ADR. ADR is not responsible for any mishandling, discrepancy, inability to understand, misinterpretation or manipulation, distortion of the data in such a way so as to benefit or target a particular political party or politician or candidate.